Индикатор Bollinger Bands (Полосы Боллинджера) был разработан и популяризован Джоном Боллинджером (John Bollinger) в конце 20-го века. Наиболее полное знакомство с данным инструментом можно получить, прочитав его книгу «Боллинджер о полосах Боллинджера» (Bollinger on Bollinger Bands).
Индикатор Bollinger Bands
Индикатор Bollinger Bands (BB) — это технический индикатор, который используется для измерения волатильности рынка. Он был разработан Джоном Боллинджером в 1980 году. Индикатор состоит из трех линий:
- Средняя линия (Moving Average, MA) — это обычно 20-дневная простая скользящая средняя (SMA), которая показывает среднюю цену за последние 20 дней.
- Верхняя полоса (Upper Band) — это MA, умноженная на коэффициент (обычно 2), который отражает волатильность на рынке.
- Нижняя полоса (Lower Band) — это MA, умноженная на тот же коэффициент, что и верхняя полоса.
BB показывает, как цена инструмента находится в отношении своих стандартных отклонений от средней цены. Если цена находится близко к верхней полосе, это может указывать на то, что рынок перекуплен и может начаться коррекция вниз. Если цена находится близко к нижней полосе, это может указывать на то, что рынок перепродан и может начаться коррекция вверх. Если цена находится между полосами, это может указывать на то, что рынок находится в боковом тренде.
Индикатор Bollinger Bands может использоваться для определения точек входа и выхода на рынок. Также он может использоваться в качестве индикатора подтверждения, который помогает определить, находится ли рынок в тренде или в боковом движении.
Полосы Боллинджера формула
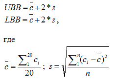
Построение полос Боллинджера довольно простая задача. Индикатор состоит из трех элементов: скользящей средней (по умолчанию период 20), верхней (UBB) и нижней (LBB) полос.
Иными словами, для построения полос мы к скользящей средней прибавляем два стандартных отклонения и получаем верхнюю полосу, а также вычитаем столько же, чтобы рассчитать нижнюю, это и есть полосы боллинджер формула. Таким образом, мы получаем некоторый диапазон, внутри которого колеблется цена.
Линии Боллинджера настройка
Индикатор Bollinger Bands представляет собой набор из трех линий, которые строятся на основе скользящего среднего и стандартного отклонения цен.
Настройка индикатора Bollinger Bands зависит от торговой стратегии, которую вы используете, и от рыночных условий. Обычно, для настройки индикатора Bollinger Bands нужно выбрать период скользящего среднего, который лучше всего подходит для анализируемого временного интервала, и количество стандартных отклонений, используемых для расчета линий.
Для большинства торговых стратегий используются настройки по умолчанию, которые включают 20-дневное скользящее среднее и две линии, находящиеся на расстоянии в два стандартных отклонения от средней линии.
Если вы хотите изменить настройки, то нужно:
- Открыть окно настройки индикаторов на вашей торговой платформе;
- Найти индикатор Bollinger Bands в списке доступных индикаторов;
- Выбрать период скользящего среднего и количество стандартных отклонений, которые вы хотите использовать;
- Нажать кнопку «Применить».
После этого индикатор Bollinger Bands будет отображаться на графике в соответствии с выбранными настройками.
Индикатор Bollinger Bands описание
Смысл, которым обладают полученные линии, довольно значим. Очевидно, что колебание цены в радиусе одного стандартного отклонения от своего среднего значения является абсолютно нормальным и естественным поведением финансового инструмента. В то же самое время, удаление от своего центра на 2*s и более несет в себе уже глубокий смысл. Такое может произойти по одной из двух причин: случайное попадание в данную область (в таком случае цена устремится обратно к центру); начало новой тенденции (в данном случае мы можем предположить, что мы находимся в начале нового движения).
Таким образом, Полосы Боллинджера выполняют функцию своего рода границы между случайным выбросом цены к довольно высоким/низким уровням и началом нового тренда. Отсюда вытекает вполне закономерная идея использовать данный инструмент технического анализа в качестве ориентиров при определении стоп-лоссов, а его величину определять одним стандартным отклонением, характеризующем текущий шаг в колебании цены на данный момент времени.
Существует еще одно свойство, которым можно наделить полосы Боллинджера, вытекающее из вышеизложенного материала: UBB является относительно высокой ценой за последние n периодов, а LBB, соответственно, – низкой. Данная особенность инструмента облегчает поиск оптимальной точки для открытия позиции при уже известном направлении и качественно выбранном времени.
Линии Боллинджера как торговать
Линии Боллинджера могут использоваться для определения точек входа и выхода из рынка. Вот несколько примеров торговых стратегий с использованием этого индикатора:
- Стратегия пробоя: если цена выходит за пределы верхней или нижней полосы Боллинджера, это может сигнализировать о начале нового тренда. Вы можете открыть позицию в направлении прорыва и установить ордер стоп-лосс за противоположной полосой.
- Стратегия падения цены вниз: если цена находится внизу средней линии Боллинджера и начинает падать дальше, это может означать, что тренд продолжается. Вы можете открыть короткую позицию и установить ордер стоп-лосс за верхней полосой.
- Стратегия роста цены вверх: если цена находится над средней линией Боллинджера и начинает расти дальше, это может означать, что тренд продолжается. Вы можете открыть длинную позицию и установить ордер стоп-лосс за нижней полосой.
- Стратегия пересечения: если цена пересекает среднюю линию Боллинджера в направлении верхней полосы, это может сигнализировать о начале нового восходящего тренда. Вы можете открыть длинную позицию и установить ордер стоп-лосс за нижней полосой. Если цена пересекает среднюю линию в направлении нижней полосы, это может означать начало нового нисходящего тренда. Вы можете открыть короткую позицию и установить ордер стоп-лосс за верхней полосой.
Как и с любой другой стратегией, важно следить за риском и устанавливать ордера стоп-лосс для минимизации потерь.
Bollinger bands стратегия
Хотелось бы еще обратить внимание на некоторые особенности использования рассматриваемого нами индикатора, выделенные непосредственно самим Джоном Боллинджером (John Bollinger) в его книге посвященной этому инструменту, дабы развеять некоторые заблуждения довольно часто встречаемые среди трейдеров: Индикатор bollinger bands дают определение относительно высокой и низкой цены за последние n периодов в данной временной рамке. Это определение относительно высокой и низкой цены, используемое совместно с дополнительным индикатором, может генерировать торговые сигналы на покупку или продажу. Индикаторы, используемые совместно с полосами, не должны иметь родственное происхождение, так как это не приводит к усилению качества сигнала. Приближение цены к верхней или нижней полосе не генерируют автоматически сигналов к продаже или покупке финансового инструмента. Цена имеет свойство «гулять» по полосам вверх и вниз.
Причем довольно интересная и качественная стратегия Bollinger Bands получается когда при восходящем тренда мы пробуем покупать от нижней границы, а при нисходящем продавать от верхней. В дальнейшем при интуитивном подходе к торговле можно исходя из тестов и пробития верхней и нижней полосок говорить о качестве и наличии тенденции на рынке.
Индикатор Bollinger Bands может быть использован для различных стратегий торговли, включая следующие:
- Стратегия пробоя: основана на том, что при пробое ценой верхней или нижней полосы Боллинджера, сигнализирует о продолжении тренда. В этом случае можно открывать позицию в направлении тренда.
- Стратегия реверса: наоборот, при пересечении ценой средней линии Боллинджера (обычно 20-периодной) в направлении противоположном текущему тренду, можно ожидать разворота и открыть позицию в новом направлении.
- Стратегия дивергенции: основана на поиске расхождений между ценой и индикатором Bollinger Bands. Если цена создает новый максимум, а верхняя полоса Боллинджера не создает новый максимум, это может сигнализировать о скором развороте и можно рассматривать возможность открытия позиции в направлении разворота.
- Стратегия отскока: предполагает, что если цена достигла нижней полосы Боллинджера, это может быть сигналом к покупке, так как ожидается отскок цены от данного уровня. Аналогично, если цена достигла верхней полосы Боллинджера, это может быть сигналом к продаже.
Важно отметить, что как и все индикаторы, Bollinger Bands не является идеальным инструментом и не гарантирует 100% успешной стратегии. Трейдер должен комбинировать данный индикатор с другими инструментами анализа, учитывать фундаментальные факторы и использовать правильный подход к управлению рисками.
Полосы Боллинджера сигналы
Также Джон Боллинжджер предлагал использовать полосы для более качественной идентификации различных графических моделей типа «голова и плечи». К примеру, по мнения Боллинджера качественная модель формируется в тот момент, когда «левое плечо» находится за полосой, «голова» также находится за полосой, а вот «правое плечо» обязательно должно находится внутри Bollinger Bands. Это и будет качественная графическая модель «голова и плечи» по правилам стратегии Bollinger Bands. Рассмотрим на примере.
В представленном графике видно формирование модели «голова и плечи» с использованием Полос Боллинджера. Мы четко видим, что в момент формирования «левого плеча», котировки валютной пары eur/usd вылетали за полосу, в момент формирования «головы» также был серьезный вылет цены за пределы полос, а в момент завершения модели на «правом плече» котировки уже не смогли достичь уровня верхней полосы. По мнения автора индикатор Bollinger Bands — это качественная модель и она отработается.
Индикатор Bollinger Bands настройки
Закрытие цены вне полос может являться сигналом для продолжения тенденции, как это часто происходит при прорыве низкого уровня волатильности. Предлагаемые по умолчанию период 20 для расчета скользящей средней и значение в 2 стандартных отклонения для bollinger bands настройки, используемое для построения верхней и нижней полосы, не являются единственно возможными. Эти параметры могут изменяться в зависимости от рынка, финансового инструмента и целей использования.
Если период, используемый для расчета скользящей, удлиняется, то размер отклонения тоже увеличивается, и наоборот. Так, например, при переходе к 50 Джон Боллинджер предлагает увеличить размер стандартного отклонения до 2.1, а при 10 сократить до 1.9.
Индикатор Полосы Боллинджера скачать
Индикатор Полосы Боллинджера (Bollinger Bands) является одним из самых известных технических индикаторов, который помогает определить волатильность цен на рынке. Индикатор состоит из трех линий, которые рисуются на графике цены.
Скачать этот индикатор можно на официальном сайте вашего терминала для торговли, например, для терминала MetaTrader 4 или MetaTrader 5 вы можете зайти на сайт мета-трейдер и найти соответствующий индикатор в разделе «Индикаторы». Для этого необходимо выполнить следующие шаги:
- Зайдите на сайт вашего терминала для торговли, например, мета-трейдер.
- Войдите в свой аккаунт.
- Найдите раздел «Индикаторы».
- Найдите и выберите индикатор «Bollinger Bands».
- Нажмите кнопку «Скачать».
После скачивания индикатора на ваш компьютер, вы можете установить его на график в вашем терминале для торговли и использовать в своих торговых стратегиях.
Полосы Боллинджера секреты
Линии Боллинджера являются одним из самых популярных индикаторов в техническом анализе. Они помогают трейдерам определить волатильность рынка и установить уровни поддержки и сопротивления. Вот несколько «секретов» использования индикатора Полосы Боллинджера:
- Используйте линии Боллинджера в сочетании с другими индикаторами. Например, многие трейдеры комбинируют линии Боллинджера с индикатором RSI или MACD, чтобы получить более точные сигналы.
- Смотрите на «сужение» и «расширение» линий Боллинджера. Когда линии начинают сужаться, это может означать, что рынок готовится к прорыву. Когда линии начинают расширяться, это может означать, что рынок становится более волатильным.
- Обратите внимание на отклонение цены от линий Боллинджера. Если цена сильно отклоняется от линии верхней или нижней полосы, это может означать, что рынок перекуплен или перепродан. Такие сигналы могут стать отправной точкой для открытия позиции.
- Не забывайте про уровни поддержки и сопротивления. Линии Боллинджера могут помочь вам определить уровни поддержки и сопротивления, которые могут быть использованы для определения точек входа и выхода из позиций.
- Используйте различные периоды времени. Индикатор Полосы Боллинджера может быть использован на любом периоде времени, от минутных до еженедельных графиков. Попробуйте использовать различные периоды времени, чтобы получить лучшее понимание текущей ситуации на рынке.
Не забывайте про риск и управление капиталом. Линии Боллинджера могут помочь вам определить точки входа и выхода из позиций, но они не гарантируют успех. Помните о рисках и используйте стратегии управления капиталом для защиты своего капитала.





